Solving quantum mysteries: New insights into 2D semiconductor physics

Publicly released:
Australia; VIC
FLEET
FLEET

Researchers from Monash University have unlocked fresh insights into the behaviour of quantum impurities within materials. The new, international theoretical study introduces a novel approach known as the ‘quantum virial expansion,’ offering a powerful tool to uncover the complex quantum interactions in two-dimensional semiconductors. This breakthrough holds potential to reshape our understanding of complex quantum systems and unlock exciting future applications utilising novel 2D materials.

Media release

From: ARC Centre of Excellence in Future Low-Energy Electronics Technologies (FLEET)

Researchers from Monash University have unlocked fresh insights into the behaviour of quantum impurities within materials.

The new, international theoretical study introduces a novel approach known as the ‘quantum virial expansion,’ offering a powerful tool to uncover the complex quantum interactions in two-dimensional semiconductors.

This breakthrough holds potential to reshape our understanding of complex quantum systems and unlock exciting future applications utilising novel 2D materials.

Unveiling quantum impurities

The study of ‘quantum impurities’ has far-reaching applications across physics in systems as diverse as electrons in a crystal lattice to protons in neutron stars. These impurities can collectively form new quasiparticles with modified properties, essentially behaving as free particles.

Although a straight-forward many-body problem to state, quantum impurity problems are difficult to solve.

"The challenge lies in accurately describing the modified properties of the new quasiparticles," says Dr Brendan Mulkerin, who led the collaboration with researchers in Spain.

The study offers a novel perspective on impurities in 2D materials known as exciton-polarons, bound electron-hole pairs immersed in a fermionic medium.

A new path: Quantum virial expansion

The Monash University team introduced the ‘quantum virial expansion’ (QVE), a powerful method that has long been indispensable in ultracold quantum gases.

In this case, the integration of QVE into the study of quantum impurities meant that only the interactions between pairs of quantum particles needed to be taken into account (rather than large numbers of them), with the resulting, solvable, model shedding new light on the interplay between impurities and their surroundings in 2D semiconductors.

The new approach is remarkably effective at ‘high’ temperatures (eg, in a semiconductor anything above a few degrees Kelvin) and low doping, where the electrons’ thermal wavelength is smaller than their interparticle spacing, leading to a ‘perturbatively’ exact theory (referring to a quantum system being perturbed from a simple, solvable limit).

"One of the most intriguing aspects of this research is its potential to unify different theoretical models, with the ongoing debate surrounding the appropriate model for explaining the optical response of 2D semiconductors being resolved through the quantum virial expansion," says corresponding author A/Prof Jesper Levinsen (also at Monash).

Opening doors to the future

The quantum virial expansion is expected to have a broad impact, extending its applications to various systems beyond 2D semiconductors.

"Understanding quantum impurity physics will continue to reveal insights and unlock novel properties and new possibilities for understanding, harnessing, and controlling quantum interactions," says corresponding author Prof Meera Parish (Monash).

The study

"Exact quantum virial expansion for the optical response of doped two-dimensional semiconductors" was published in Physical Review Letters in September 2023  (DOI: 10.1103/PhysRevLett.131.106901)

The Spanish members of the team comprised researchers from the  Universidad Autónoma de Madrid (UAM) Condensed Matter Physics Center (IFIMAC) Francesca Maria Marchetti in collaboration with Antonio Tiene at UAM, lead author of a joint article in Physical Review B: Crossover from exciton polarons to trions in doped two-dimensional semiconductors at finite temperature ( DOI 10.1103/physrevb.108.125406)

As well as support from the Australian Research Council, funding was received from the Spanish Ministry of Science & Innovation (MICINN) and the Synergy Grant for New Emerging Fields: Nanophotonics for Quantum Computing (NanoQuCoCM).

Multimedia

Dr Brendan Mulkerin
Dr Brendan Mulkerin
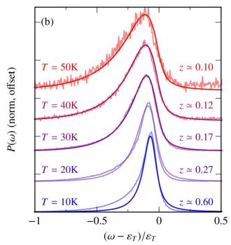
Excellent agreement with experimental results
Excellent agreement with experimental results
Corresponding authors Jesper Levinsen and Meera Parish
Corresponding authors Jesper Levinsen and Meera Parish

Attachments

Note: Not all attachments are visible to the general public. Research URLs will go live after the embargo ends.

Media Release ARC Centre of Excellence in Future Low-Energy Electronics Technologies (FLEET), Web page
Research Physical Review Letters, Web page
Journal/
conference:
Physical Review Letters
Research:Paper
Organisation/s: ARC Centre of Excellence in Future Low-Energy Electronics Technologies (FLEET), Monash University
Funder: Australian Research Council
Media Contact/s
Contact details are only visible to registered journalists.